Artículo original

DOI: 10.31766/revpsij.v39n3a4

Evolución del impacto psicopatológico al año del confinamiento por COVID-19 en menores con patología psiquiátrica previa y en sus familiares o cuidadores


Evolution of the psychopathological impact after one year of the COVID-19 confinement in minors with previous psychiatric pathology and in their relatives or caregivers


C. Domínguez Martín ORCID

Hospital de día de psiquiatría infanto-juvenil de Hospital Clínico Universitario de Valladolid. España. cdominguezm@saludcastillayleon.es. Email

E. Martín Arranz ORCID

Hospital de día de psiquiatría infanto-juvenil de Hospital Clínico Universitario de Valladolid. España.

J. Martínez Fernández ORCID

Graduado en Psicología y Criminología. Valladolid. España.

A. Diez Revuelta ORCID

Facultad de Medicina y Cirugía. Universidad de Valladolid. España.

Revista de Psiquiatría Infanto-Juvenil (AEPNYA), Vol. 39 Núm. 3 (Julio - Septiembre, 2022), Pag: 21-40. ISSN: 1130-9512 | E-ISSN: 2660-7271


Recibido / Received: 22/03/22
Aceptado / Accepted: 12/06/22



RESUMEN

Introducción: La pandemia por COVID-19 ha motivado cambios en la sociedad, afectando a la salud mental de la población, particularmente en la infancia y adolescencia. Los menores con patología psiquiátrica previa pueden mostrar incrementos de su sintomatología (depresión, ansiedad o estrés) tanto durante el confinamiento como de forma persistente una vez concluido éste. Objetivo: Evaluar la sintomatología clínica y el impacto emocional en los menores que acuden a Hospital de día y en sus padres/cuidadores un año después de la finalización del confinamiento por COVID-19. Métodos: Se evaluó la sintomatología clínica (emocional y conductual) durante el confinamiento y/o un año después en 81 familias participantes. Se analizaron las diferencias clínicas entre ambos momentos temporales, en primer lugar, para dos grupos de menores y cuidadores independientes y, en segundo lugar, para un mismo grupo de menores y cuidadores evaluado en ambas ocasiones. Resultados: Los análisis longitudinales mostraron algunas tendencias de incrementos de la sintomatología en las dimensiones de depresión, ansiedad y de control afectivo y conductual en los menores. Sin embargo, estas diferencias significativas en ningún caso pasaron el corte de corrección por comparaciones múltiples. Sus familiares y cuidadores tampoco mostraron cambios significativos en la sintomatología evaluada entre ambos momentos temporales. Discusión: la sintomatología clínica de menores con patología psiquiátrica se ha mantenido un año después del fin del confinamiento por COVID-19. Se debería fomentar el seguimiento regular, una buena comunicación entre padres-hijos y un adecuado apoyo social sobre la díada menor-cuidador para favorecer un manejo emocional adecuado.

Palabras clave: COVID-19, niños, adolescentes, ansiedad, depresión, impacto psicopatológico.


ABSTRACT

Introduction: The COVID-19 pandemic has led to changes in society, affecting the mental health of the population, particularly in childhood and adolescence. Minors with previous psychiatric pathology may show increased symptomatology (depression, anxiety or stress) both during confinement and persistently after it. Objective: To assess the evolution of clinical symptomatology and the emotional impact on minors attending our Day Hospital and their caregivers one year after the end of COVID-19 confinement. Method: Clinical symptoms (emotional and behavioural) were assessed during confinement and/or one year later in 81 participating families. Clinical differences between both time points were analyzed, firstly, for two groups of minors and independent caregivers and, secondly, for the same group of minors and caregivers evaluated on both occasions. Results: Longitudinal analyses showed trends to an increase in symptomatology in the dimensions of depression, anxiety, and affective and behavioral control. However, these significant differences weren’t maintained after correction for multiple comparisons. Their family members and caregivers also showed no significant changes between the two time points. Conclusions: The clinical symptomatology of minors with psychiatric pathology has been maintained one year after the end of the confinement due to COVID-19. Regular follow-up, good parent-child communication and adequate social support on the minor-caregiver dyad should be encouraged to promote proper emotional management.

Keywords: COVID-19, children, adolescents, anxiety, depression, psychopathological impact.




INTRODUCCIÓN


INTRODUCCIÓN

La pandemia por Coronavirus (COVID-19) ha desencadenado una situación de restricción en las interacciones sociales debido al confinamiento que se impuso en muchos países. Estas medidas han motivado un cambio en la sociedad, generando un distanciamiento social y un incremento del uso de internet para llevar a cabo el aprendizaje de los jóvenes, así como para el desempeño laboral en muchos puestos de trabajo y en el tiempo del ocio. El confinamiento y la cuarentena son estados de aislamiento psicológicamente angustiantes y desagradables para cualquier persona que los experimenta, que pueden afectar a nuestra salud mental (1, 2).

Los jóvenes tienen mayor riesgo que los adultos para desarrollar patología psiquiatría en situaciones de confinamiento o cuarentena (3). Además, los menores son más vulnerables a los efectos adversos del aislamiento social debido a las repercusiones que motivan en su actividad física e interacción social (4, 5). Coherente con ello, estudios durante el primer año de pandemia estiman que los problemas de salud mental en niños y adolescentes se han duplicado, al menos, respecto a las estimaciones pre-pandémicas (6). Los síntomas de ansiedad y depresión fueron los más frecuentes entre los niños y adolescentes durante el confinamiento por COVID-19 (7, 8). También se han mostrado incrementos de la irritabilidad y la ira entre este tipo de población (9). Así mismo, se ha observado un incremento en las autolesiones y en las ideas y los intentos de suicidio en los niños y adolescentes (10) desde que inicia la pandemia, y también se han reactivado los trastornos de conducta alimentaria, principalmente entre los adolescentes, tras el confinamiento (11).

Toda esta problemática puede verse mucho más acusada en los menores con necesidades especiales o con patología psiquiátrica previa (8, 12), que merecen un estudio y seguimiento específico. En un estudio descriptivo anterior en una muestra de pacientes menores con antecedentes psiquiátricos mostramos que las principales dimensiones de sintomatología clínica extrema durante el confinamiento, valorada mediante el Sistema de Evaluación de Niños y Adolescentes (SENA), fueron: aislamiento, ira, depresión, ansiedad, agresión, sintomatología postraumática y problemas emocionales (13).

Además de las dificultades socioeconómicas derivadas del confinamiento, los padres o cuidadores han manifestado un incremento de la sintomatología clínica, principalmente en irritabilidad y conductas desadaptativas, tales como el abuso verbal, el castigo o el gritar a sus hijos (8, 9). También coherente con ello, nosotros previamente encontramos en padres o cuidadores de menores con antecedentes de patología psiquiátrica durante el confinamiento mayores índices psicopatológicos en las dimensiones de obsesión-compulsión, sensibilidad interpersonal, ansiedad y depresión (13).

La mayoría de los trabajos de investigación publicados en menores son transversales y, aquellos que han abordado el análisis longitudinal lo han hecho en población de niños y/o adolescentes sin antecedentes de patología psiquiátrica previa (4, 14). Continuando con nuestro trabajo, desde el Hospital de día de psiquiatría infanto-juvenil del Hospital Clínico de Valladolid se ha mantenido la evaluación de los posibles efectos de la pandemia por COVID-19 sobre la salud mental en los menores con antecedentes de psicopatología y también en sus padres o cuidadores que acudían a tratamiento una vez concluido dicho periodo de confinamiento y coincidiendo con un periodo de baja incidencia entre la cuarta y quinta ola COVID-19 en España. Los objetivos de este artículo son: 1) describir los posibles efectos emocionales y conductuales en estas dos poblaciones tras un año del fin del confinamiento y 2) valorar la evolución longitudinal de la sintomatología clínica en este periodo. Nuestra hipótesis de partida es que, dado el aún continuo cuidado de contagio a través de medidas excepcionales y la sensación de vulnerabilidad transmitida por las autoridades competentes y los medios de comunicación, la sintomatología clínica se mantendrá en niveles similares un año después del fin del confinamiento.

MATERIAL Y MÉTODOS

Muestra

Se evaluaron menores y su cuidadores durante dos momentos temporales. (N=81 familias). Los menores eran pacientes que acudían al Hospital de Día de Psiquiatría del Hospital Clínico Universitario de Valladolid con diversos diagnósticos y fueron valorados y diagnosticados por el especialista de psiquiatría del hospital (C.D.M.). Los diagnósticos de los pacientes menores se pueden encontrar divididos por grupo de estudio en la Tabla 1. Una parte de la muestra fue evaluada durante el confinamiento (T1: mayo a julio de 2020), mientras que otra parte fueron valorados un año después (T2: mayo a julio de 2021).

El estudio fue aprobado por el Comité de Investigación del Hospital de acuerdo con el código ético de la Asociación Médica Mundial (Declaración de Helsinki).

Tabla 1. Número de pacientes menores por diagnóstico clínico para cada uno de los dos estudios.

Estudio pretest/postest - T1 (n=22) Estudio pretest/ postest - T2 (n=32) Estudio longitudinal T1/T2 (n=27)
Trastorno de personalidad 5 (22,7%) 6 (18,8%) 3 (11,1%)
Trastorno por déficit de atención con hiperactividad (TDAH) 2 (9,1%) 7 (21,9%) 5 (18,5%)
Trastorno del espectro autista (TEA) 1 (4,6%) 6 (18,8%) 7 (25,9%)
Depresión 3 (13,6%) 7 (21,9%) 2 (7,4%)
Anorexia nerviosa 5 (22,7%) 3 (9,4%) 1 (3,7%)
Trastorno bipolar 2 (9,1%) 2 (6,3%) 2 (7,4%)
Psicosis 1 (4,6%) 3 (9,4%) 2 (7,4%)
Trastorno del neurodesarrollo 2 (9,1%) 0 (0,0%) 4 (14,8%)
Trastorno adaptativo 4 (18,2%) 1 (3,1%) 0 (0,0%)
Trastorno obsesivo-compulsivo (TOC) 0 (0,0%) 4 (12,5%) 1 (3,7%)
Trastorno negativista desafiante (TND) 2 (9,1%) 1 (3,1%) 2 (7,4%)
Ansiedad 1 (4,6%) 0 (0,0%) 2 (7,4%)
Trastorno de conducta 2 (9,1%) 0 (0,0%) 0 (0,0%)
Trastorno del control de impulsos 0 (0,0%) 1 (3,1%) 1 (3,7%)
Mutismo selectivo 1 (4,6%) 0 (0,0%) 0 (0,0%)
Discapacidad intelectual 1 (4,6%) 0 (0,0%) 0 (0,0%)
Trastorno específico del lenguaje (TEL) 0 (0,0%) 0 (0,0%) 1 (3,7%)
Síndrome de Tourette 0 (0,0%) 0 (0,0%) 1 (3,7%)

Instrumentos de evaluación clínica

Los datos sociodemográficos (edad, sexo, tipo de vivienda, número de convivientes) y clínicos (diagnóstico, antecedentes psicopatológicos y antecedentes de maltrato o trauma) de los participantes fueron registrados por la psiquiatra infanto-juvenil responsable y recogidos desde las historias clínicas de los menores y durante las entrevistas realizadas a los cuidadores principales. La sintomatología clínica y situación emocional durante el confinamiento (T1) y un año después (T2) se valoró en los menores y sus cuidadores a través de los cuestionarios autoaplicados Sistema de Evaluación de Niños y Adolescentes (SENA) y Symptom Checklist-90-Revised (SCL-90), respectivamente.

El SENA es un instrumento que permite la detección de un amplio espectro de problemas emocionales y de conducta en los menores desde los tres hasta los dieciocho años, que dispone de tres niveles diferentes según la edad: Infantil (3-6 años), Primaria (6-12 años) y Secundaria (12-18 años). La evaluación ofrece dos alternativas: 1) el propio menor responde de forma autoaplicada (puntuaciones SENA-M) o 2) un cuidador informa sobre el menor (puntuaciones SENA-C). En el presente estudio se emplearon las puntuaciones tipificadas (valores de 0 a 100, media=50, DT=10) para las diecinueve medidas comunes a todas las versiones del cuestionario empleadas (edades primaria y secundaria; autoevaluación de menores e informe de los cuidadores sobre los menores). Las medidas corresponden a las siguientes categorías primarias: Problemas interiorizados [depresión (DEP), ansiedad (ANS), ansiedad social (ASC) y quejas somáticas (SOM)]; Problemas exteriorizados [atención (ATE), hiperactividad-impulsividad (HIP), control de la ira (IRA), agresión (AGR), conducta desafiante (DES) y conducta antisocial (ANT)]; Problemas específicos [consumo de sustancias (SUS), conducta alimentaria (ALI)]; y Áreas de vulnerabilidad y recursos personales [regulación emocional (REG) e integración y competencia social (SOC)]. Adicionalmente, se calcularon los índices generales de problemas: global (GLO), emocionales (EMO), conductuales (CON), de las funciones ejecutivas (EJE) y de recursos personales (REC). De acuerdo con los criterios de la prueba, la puntuación igual o superior a 80 indica sintomatología patológica en cada escala.

El impacto emocional en los padres/cuidadores fue evaluado mediante el cuestionario de 90 síntomas SCL-90-R, versión española. Se trata de un cuestionario de sintomatología clínica autoaplicado que consta de 90 ítems. La corrección de la prueba permite obtener las puntuaciones tipificadas (valores de 0 a 100, media=50, DT=10) en nueve escalas sintomáticas primarias: somatizaciones (SOM), obsesiones y compulsiones (OBS), sensibilidad interpersonal (INT), depresión (DEP), ansiedad (ANS), hostilidad (HOS), ansiedad fóbica (FOB), ideación paranoide (PAR) y psicoticismo (PSI); y también en tres índices globales de malestar psicológico: índice global de severidad (GSI), índice positivo de malestar (PST) y total de síntomas positivos (PSDI)). En esta herramienta, el umbral psicopatológico se consideró en 90 puntos para cada una de sus escalas.

Análisis estadístico

Con el fin de aprovechar toda la potencialidad de nuestra muestra y dado que no todos los participantes fueron evaluados en ambos momentos (durante el confinamiento y un año después, T1 y T2 respectivamente), el análisis estadístico se dividió en dos estudios separados: un primero de tipo pretest/postest de medidas independientes entre los grupos T1 y T2, y otro longitudinal de medidas repetidas donde los participante sí fueron evaluados por partida doble. El análisis estadístico se hizo empleando el programa SPSS en su versión 24.

Estudio pretest/postest de medidas independientes

Se emplearon pruebas t de Student y χ2 (respectivamente para medidas continuas y categóricas) para estudiar si los grupos de estudio estaban correctamente balanceados en edad, sexo, tipo de vivienda y antecedentes de maltrato.

Mediante la prueba Kolmogorov-Smirnov, se determinó que las puntuaciones SENA y SCL-90 no se distribuían de forma normal en las muestras de estudio. Por tanto, los niveles de sintomatología se contrastaron entre ambos momentos temporales T1 y T2 empleando la prueba no paramétrica U de Mann-Whitney. Adicionalmente se calcularon el número y porcentaje de participantes cuya puntuación sintomatológica, en cada dimensión, superaba el umbral de patología (casos extremos). Las diferencias en el porcentaje de sujetos con patología significativa fueron contrastadas entre los grupos T1 y T2 empleando la prueba χ2.

Estudio longitudinal de medidas repetidas

El análisis longitudinal para comparar la evolución de la sintomatología entre los momentos T1 y T2 se realizó mediante la prueba no paramétrica de rangos con signo de Wilcoxon para las medidas continuas (puntuaciones SENA y SCL-90) y χ2 de McNemar para las medidas categoriales (porcentaje de casos extremos) donde se atendieron los cambios de las proporciones de casos patológicos a no patológicos (y viceversa) entre ambos momentos T1 y T2. Se estableció el nivel de significación inicialmente en p≤0,05. En el caso de diferencias significativas, adicionalmente se realizará y valorará una corrección de p por comparaciones múltiples de tipo Bonferroni según el número de comparaciones por test (p≤0,003 y p≤0,004 para el análisis de las puntuaciones SENA y SCL-90 respectivamente).

Adicionalmente, para estudiar el posible efecto de otras variables en el cambio de la sintomatología entre momentos temporales, se realizó un Modelo Lineal General (MLG) de medidas repetidas. En primer lugar, para las puntuaciones SENA, el MLG incluyó como factores intra-sujeto las variables Tiempo (T1 y T2) y Dimensión (19 medidas de la prueba), y como factor inter-sujeto el Grupo (autoevaluación de los menores o valoración de sus cuidadores). Adicionalmente, se repitió el MLG para las medidas SENA incluyendo como factores inter-sujeto las variable Sexo, para estudiar si padres y madres valoran del mismo modo a sus hijos, así como los antecedentes de Maltrato, para valorar su posible efecto en la evolución de la sintomatología. Por otro lado, se realizó un nuevo MLG para el estudio de las puntuaciones SCL-90 donde los factores intra-sujeto fueron también Tiempo y Dimensión (en este caso las 12 medidas), y los factores inter-sujeto fueron Sexo, para valorar si padres y madres sufren una evolución de la sintomatología diferenciada y también Maltrato. En los MLG se estudiaron los efectos de cada factor, así como sus interacciones, se calcularon sus medias marginales y se realizaron los análisis pos-hoc necesarios empleando el ajuste Bonferroni para varias comparaciones.

RESULTADOS

Muestra

Una muestra de 81 familias, consistentes en 81 menores pacientes del Hospital de día y 107 de sus cuidadores principales, accedieron a participar en el estudio. De ellos, 49 menores (40,8% mujeres; rango de edad=7-18 años, edad media=13,53, DT=3,14) y 66 cuidadores (73,8% mujeres; rango de edad=32-59, edad media=46,82, DT=5,78) fueron evaluados durante el confinamiento (T1), mientras que fueron 59 menores (32,2% mujeres; rango de edad=8-18, edad media=13,85, DT=2,41) y 79 cuidadores (74,7% mujeres; rango de edad=32-62, edad media=47,27, DT=5,39) los valorados un año después (T2).

Los cuidadores fueron mayoritariamente padres (34,7%) o madres (65,3%) acompañantes e informadores de su hijo/a, aunque también participó una abuela (0,8%) y una cuidadora sin vínculo filial (0,8%).

Adicionalmente, se valoró la presencia y tipo de maltrato en los pacientes menores. Se detectó maltrato físico en un solo menor (1,2%), 7 presentaron maltrato psicológico (8,5%) y 24 acoso escolar (29,3%). En cuanto a los adultos cuidadores, 4 reportaron maltrato físico en su niñez (3,3%), 12 maltrato psicológico (9,9%), 6 acoso escolar (5,0%) y 6 abuso sexual (5,0%). Durante el desarrollo del estudio, 49 de las familias (59,8%) vivieron en un piso o casa con terraza o jardín y el número medio de personas por hogar fue de 3,79 (DT=0,86). De estas familias, 9 pasaron por la enfermedad y 3 sufrieron la muerte de un familiar durante el primer periodo de confinamiento. En la evaluación de un año después, 10 familias habían sufrido COVID-19 (7 de ellos requirieron ingreso y 1 ingreso en UVI) y 10 sufrieron la muerte de un familiar.

Estudio pretest/postest de medidas independientes

54 familias (54 menores y 69 cuidadores) fueron evaluados -de forma independiente- bien en T1 (periodo de confinamiento; 22 menores y 28 cuidadores), bien en T2 (post-confimamiento; 32 menores y 41 cuidadores). En las Tablas 2 a 4 pueden verse las principales características demográficas, puntuaciones clínicas y casos extremos o patológicos en cada grupo.

Estudio longitudinal de medidas repetidas

Adicionalmente, 27 familias (27 menores y 38 cuidadores) participaron en ambas evaluaciones T1 y T2, permitiendo un análisis longitudinal de su evolución sintomatológica. Los menores fueron un 25,9% niñas y se encontraban en un rango de edad de 8-18 años (media=13,19, DT=2,86). Los cuidadores fueron todos padres (13,6%) o madres (86,4%) y se encontraban en un rango de edad de 32-57 años (edad media=45,00, DT=6,4). Durante el confinamiento, un 72,7% de estas familias convivieron en viviendas con jardín, patio o terraza y el promedio de personas por vivienda fue de 3,81 (DT=0,74). Las Tablas 5 a 7 muestra las características demográficas, puntuaciones clínicas y porcentaje de casos patológicos o extremos en cada subgrupo.

Estudio pretest/postest de medidas independientes

No se encontraron diferencias significativas entre ambos grupos (T1 y T2) en las principales variables demográficas (edad, sexo, tipo de vivienda y personas por vivienda) para los tres estudios pretest/postest (SENA-M, SENA-C y SCL-90) (ver Tablas 2 a 4 y Figura 1). Tampoco se encontraron diferencias significativas entre los grupos T1 y T2 en los antecedentes de maltrato para los estudios SENA-cuidadores y SCL-90-cuidadores, aunque los resultados sí mostraron que significativamente la proporción de personas con antecedentes de maltrato fue superior en el grupo T2 que en el T1 (50% frente al 13,6%, respectivamente; χ2=7,559; p=0,006; Tabla 2).

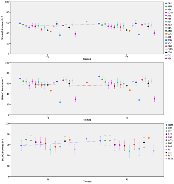
En cuanto a las medidas SENA autoevaluadas por los propios menores (SENA-M), los análisis resultaron en una mayor sintomatología clínica en el periodo post-confinamiento T2 para las dimensiones de depresión (DEP; U=-2,404; p=0,016), ansiedad (ANS; U=-2,317; p=0,021), ansiedad social (ASC; U=-2,268; p=0,023) y quejas somáticas (SOM; U=-2,410; p=0,016), así como para las medidas generales global (GLO; U=-2,100; p=0,036) y de problemas emocionales (EMO; U=-2,617; p=0,009). Sin embargo, la puntuación SENA se vio disminuida en T2 para las dimensiones de integración y competencia social (SOC; U=-2,110; p=0,035) y de recursos personales (REC; U=-2,606; p=0,009). No se encontraron diferencias significativas en la frecuencia de casos extremos (patológicos) en ninguno de estos casos (Tabla 2 y Figura 1).

Tabla 2. Resultados SENA en menores en T1 (durante el confinamiento) y T2 (post-confinamiento). Autoevaluación de los menores (SENA-M). Muestras no relacionadas

Menores T1 Menores T2
Tamaño de la muestra 22 32
Rango de edad (años) 7-18 10-17
Edad media (años) 13,95 (3,48) 14,41 (1,83)
Sexo (M:F) 9:13 20:12
Tipo de vivienda (CON:SIN jardín/terraza) 17:5 16:16
Personas por vivienda 3,57 3,91
Antecedentes de maltrato (Sí:No) 3:19 (13,6:86,4%)* 16:16 (50,0%:50,0%)
Puntuación % patología Puntuación % patología
SENA-M (autoevaluación de los menores) - Escalas primarias
Depresión (DEP) 57,91 (13,90)* 3 (13,6%) 68,09 (16,14) 11 (34,4%)
Ansiedad (ANS) 54,50 (9,83)* 0 (0,0%) 63,09 (13,24) 3 (9,4%)
Ansiedad social (ASC) 52,95 (12,79)* 1(4,5%) 62,47 (14,56) 5 (15,6%)
Quejas somáticas (SOM) 50,65 (9,30)* 0 (0,0%) 59,00 (11,80) 4 (12,5%)
Atención (ATE) 53,82 (8,18) 0 (0,0%) 56,00 (10,51) 1 (3,1%)
Hiperactividad-impulsividad (HIP) 56,00 (8,57) 1 (4,5%) 56,41 (10,97) 2 (6,3%)
Control de la ira (IRA) 54,64 (9,48) 0 (0,0%) 57,28 (13,39) 1 (3,1%)
Agresión (AGR) 49,40 (13,04) 2 (9,1%) 50,75 (10,70) 0 (0,0%)
Conducta desafiante (DES) 55,00 (11,56) 1 (4,5%) 56,09 (15,36) 5 (15,6%)
Conducta antisocial (ANT) 52,87 (16,15) 1 (4,5%) 52,50 (11,05) 0 (0,0%)
Consumo de sustancias (SUS) 51,93 (14,66) 1 (4,5%) 48,39 (7,17) 0 (0,0%)
Conducta alimentaria (ALI) 55,67 (10,53) 0 (0,0%) 63,14 (13,91) 3 (9,4%)
Regulación emocional (REG) 57,35 (10,88) 0 (0,0%) 62,88 (14,87) 4 (12,5%)
Integración y competencia social (SOC) 45,15 (11,29)* 0 (0,0%) 36,16 (14,18) 0 (0,0%)
SENA-M (autoevaluación de los menores) - Índices generales de problemas
Global de problemas (GLO) 55,77 (8,18)* 0 (0,0%) 62,84 (13,52) 4 (12,5%)
Emocionales (EMO) 55,77 (10,91)** 1 (4,5%) 65,78 (14,37) 7 (21,9%)
Conductuales (CON) 53,18 (12,61) 2 (9,1%) 55,16 (12,48) 1 (3,1%)
Funciones ejecutivas (EJE) 57,60 (7,90) 0 (0,0%) 59,94 (11,42) 3 (9,4%)
Recursos personales (REC) 44,20 (12,34)** 0 (0,0%) 33,81 (13,47) 0 (0,0%)

* p<0.05; ** p<0.01; *** p<0.005 (prueba de U de Mann-Whitney o χ2, según corresponda).

Cuando la evaluación SENA fue realizada por parte de los cuidadores responsables de los menores (SENA-C), esta mostró un incremento de la sintomatología clínica en T2 (post-confinamiento) en las dimensiones de depresión (DEP; U=-2,455; p=0,014), ansiedad (ANS; U=-2,090; p=0,037) y conducta alimentaria (ALI; U=-2,611; p=0,009), así como en la medida general de problemas emocionales (EMO; U=-2,336; p=0,019). Adicionalmente, el incremento de casos extremos se encontró en las medidas de problemas de atención (ATE), regulación emocional (REG) y en la puntuación general de problemas en las funciones ejecutivas (EJE; χ2=4,171; p=0,041 en los tres casos) (Tabla 3 y Figura 1).

Tabla 3. Resultados SENA en menores en T1 (durante el confinamiento) y T2 (post-confinamiento). Evaluación de los familiares/cuidadores. Muestras no relacionadas

Menores T1 Menores T2
Tamaño de la muestra 26 34
Rango de edad (años) 35-55 39-56
Edad media (años) 46,64 (4,96) 47,59 (4,45)
Sexo (M:F) 2:24 8:26
Tipo de vivienda (CON:SIN jardín/terraza) 17:9 17:17
Personas por vivienda 3,64 3,88
Antecedentes de maltrato (Sí:No) 9:17 10:24
Puntuación % patología Puntuación % patología
SENA-C (evaluación de los familiares/cuidadores) - Escalas primarias
Depresión (DEP) 61,73 (14,69)* 4 (15,4%) 72,18 (15,29) 12 (35,3%)
Ansiedad (ANS) 61,27 (15,31)* 5 (19,2%) 69,79 (13,97) 9 (26,5%)
Ansiedad social (ASC) 58,15 (12,39) 0 (0,0%) 62,76 (11,56) 3 (8,8%)
Quejas somáticas (SOM) 54,58 (13,27) 1 (3,8%) 57,79 (13,60) 2 (5,9%)
Atención (ATE) 55,85 (12,14) 0 (0,0%)* 62,53 (13,63) 5 (14,7)
Hiperactividad-impulsividad (HIP) 58,81 (11,74) 1 (3,8%) 57,47 (13,45) 4 (11,8%)
Control de la ira (IRA) 64,12 (17,34) 7 (26,9%) 61,68 (17,69) 7 (20,6%)
Agresión (AGR) 59,38 (18,95) 5 (19,2%) 56,97 (14,37) 4 (11,8%)
Conducta desafiante (DES) 60,35 (14,42) 2 (7,7%) 60,38 (15,56) 5 (14,7%)
Conducta antisocial (ANT) 57,78 (19,50) 3 (11,5%) 61,20 (17,75) 5 (14,7%)
Consumo de sustancias (SUS) 49,94 (13,28) 1 (3,8%) 50,57 (9,66) 1 (2,9%)
Conducta alimentaria (ALI) 57,06 (15,49)* 2 (7,7%) 68,83 (17,27) 8 (23,5)
Regulación emocional (REG) 60,42 (13,25) 0 (0,0%)* 63,94 (12,29) 5 (14,7%)
Integración y competencia social (SOC) 32,96 (12,70) 0 (0,0%) 33,53 (13,75) 0 (0,0%)
SENA-C (evaluación de los familiares/cuidadores) - Índices generales de problemas
Global de problemas (GLO) 64,04 (14,12) 4 (15,4%) 68,97 (14,66) 9 (26,5%)
Emocionales (EMO) 61,38 (14,27)* 4 (15,4%) 70,15 (12,44) 10 (29,4%)
Conductuales (CON) 63,38 (19,59) 7 (26,9%) 61,68 (16,75) 7 (20,6%)
Funciones ejecutivas (EJE) 61,58 (11,57) 0 (0,0%)* 65,47 (13,37) 5 (14,7%)
Recursos personales (REC) 36,00 (10,39) 0 (0,0%) 36,44 (12,36) 0 (0,0%)

* p<0.05; ** p<0.01; *** p<0.005 (prueba de U de Mann-Whitney o χ2, según corresponda).

Por último, la evaluación de la sintomatología clínica de los propios cuidadores mediante el SCL-90 mostró solamente una disminución en T2 en la dimensión de ansiedad fóbica tanto en el nivel de síntomas (FOB; U=-2,243; p=0,025) como en el porcentaje de casos extremos o patológicos (FOB; χ2=6,855; p=0,009) (Tabla 4 y Figura 1).

Tabla 4. Resultados SCL-90 en familiares/cuidadores en T1 (durante el confinamiento) y T2 (post-confinamiento). Autoevaluación. Muestras no relacionadas

Cuidadores T1 Cuidadores T2
Tamaño de la muestra 28 41
Rango de edad 35-59 39-62
Edad media 47,33 (6,15) 48,02 (5,18)
Sexo 12:16 14:27
Tipo de vivienda (CON:SIN jardín/terraza) 19:9 19:22
Personas por vivienda 3,77 3,95
Antecedentes de maltrato (Sí:No) 6:22 10:31
Puntuación % patología Puntuación % patología
SCL-90 (autoevaluación) - Escalas primarias
Somatizaciones (SOM) 71,14 (28,38) 16 (57,1%) 61,71 (33,92) 20 (48,8%)
Obsesiones y compulsiones (OBS) 59,46 (35,04) 13 (46,4%) 63,07 (32,72) 20 (48,8%)
Sensitividad interpersonal (SI) 56,36 (38,39) 13 (46,4%) 53,17 (37,10) 16 (39,0%)
Depresión (DEP) 64,43 (31,38) 14 (50,0%) 59,71 (33,40) 18 (43,9%)
Ansiedad (ANS) 62,43 (35,13) 15 (53,6%) 59,88 (33,26) 17 (41,5%)
Hostilidad (HOS) 60,14 (35,71) 13 (46,4%) 53,24 (30,80) 13 (31,7%)
Ansiedad fóbica (FOB) 50,93 (38,67)* 11 (39,3%)** 29,59 (33,07) 5 (12,2%)
Ideación paranoide (PAR) 52,43 (39,69) 13 (46,4%) 51,71 (37,03) 15 (36,6%)
Psicoticismo (PSI) 53,71 (41,71) 14 (50,0%) 48,54 (39,05) 15 (36,6%)
SCL-90 (autoevaluación) - Índices globales de malestar psicológico
Global de severidad (GSI) 66,39 (32,44) 15 (53,6%) 62,37 (34,99) 23 (56,1%)
Positivo de malestar (PST) 64,32 (32,73) 13 (46,4%) 63,23 (35,12) 21 (51,2%)
Total de síntomas positivos (PSDI) 58,79 (31,47) 10 (35,7%) 49,80 (32,75) 11 (26,8%)

* p<0.05; ** p<0.01; *** p<0.005 (prueba de U de Mann-Whitney o χ2, según corresponda).



v39n3a04image001.png

Figura 1. Puntuaciones SENA-M y SENA-C de los menores y SCL-90 de sus cuidadores (respectivamente de arriba a abajo) en los momentos temporales T1 (confinamiento) y T2 (post-confinamiento) para el análisis pretest/postest de medidas independientes. Se encontró un efecto significativo T1/T2 en las dimensiones clínicas marcadas con asterisco. Barras de error: 95% CI

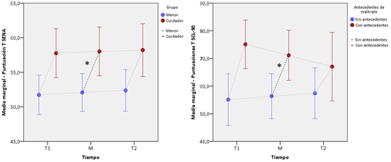
En el MLG para las escalas SENA, la prueba multivariante determinó un efecto únicamente de la variable intra-sujeto Dimensión (Lambda de Wilks= 0,030; F=14,521; p<0,001). No se encontró significación en ninguna de sus interacciones con otras variables inter o intra-sujeto. El modelo no cumplió las condiciones de esfericidad para ninguna de las variables, por lo que se calcularon las pruebas de efectos intra-sujeto corregidas por el método Greenhouse-Geisser, que confirmó la significación del efecto de Dimensión (F=21,155; p<0,001) (Figura 1). Por otro lado, la prueba de efecto inter-sujetos determinó diferencias significativas para la variable Grupo (menores vs. cuidadores; F=6,12; p=0,021), aunque no se encontró un efecto de interacción de esta variable y el momento de evaluación (Grupo*Tiempo; Lambda de Wilks= 0,906; F=2,591; p=0,120). El estudio post-hoc de las medias marginales confirma estos efectos: en la escala SENA, las puntuaciones de los cuidadores hacia los menores fueron superiores a las de los propios menores (diferencia de medias=-6,145; p=0,021), aunque no hay una diferencia entre las evaluaciones para momentos temporales diferentes T1 y T2, con independencia de otros factores (diferencia de medias=-0,794; p=0,416) (Figura 3). Al introducir las variables inter-sujeto Sexo, Maltrato y Acontecimiento COVID, éstas no mostraron un efecto significativo en el modelo (respectivamente, F=1,503; p=235; diferencia de medias=4,643; p=0,109; F=1,033; p=0,322; diferencia de medias=2,280; p=0,418). El MLG no encontró ningún otro efecto significativo para las interacciones entre las medidas intra- e inter-sujeto.

En segundo lugar, se realizó un nuevo MLG para la autoevaluación SLC-90 de cuidadores. La prueba multivariante confirmó un efecto de la variable intra-sujeto Dimensión (Lambda de Wilks= 0.329; F=5,001; p<0,001) (Figura 2), pero no su interacción con el momento de evaluación (Dimensión*Tiempo; Lambda de Wilks= 0.696; F=1,073; p=0,417). Se midieron de nuevo las pruebas de efectos intra-sujetos corregidas por Greenhouse-Geisser, que confirmaron el efecto de Dimensión (F=6,814; p<0,001). Al introducir en el modelo los factores inter-sujeto Sexo y Maltrato, no mostraron un efecto significativo el primero (F=2,708; p=0,109), pero sí el segundo (con vs. sin antecedentes; F=4,430; p=0,043). La prueba post-hoc determinó que los cuidadores con antecedentes de maltrato puntuaron significativamente por encima de aquellos sin antecedentes (diferencia de medias=22,433; p=0,043). Sin embargo, no se encontró interacción entre antecedentes de maltrato y momento de la evaluación (Maltrato*Tiempo; Lambda de Wilks= 0.996; F= 0.122; p=0,730) (Figura 3). El MLG no encontró ningún efecto significativo de las demás interacciones entre las medidas intra- e inter-sujeto.

Estudio longitudinal de medidas repetidas

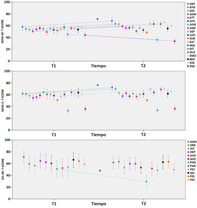
El estudio longitudinal de medidas repetidas T1-T2 determinó un incremento significativo solamente para ansiedad social en la autoevaluación de menores (SENA-M)(Z=-2,080; p=0,38), así como una disminución en hiperactividad e impulsividad en la evaluación reportada por sus cuidadores (SENA-C) (Z=-1,975; p=0,048). La evaluación de la evolución de la sintomatología clínica en cuidadores mediante la escala SCL-90 determinó un incremento significativo solamente en la dimensión de somatizaciones (Z=-2,335; p=0,20) (Tablas 5-7 y Figura 2). Por último, el estudio de los cambios en los casos extremos o patológicos entre los momentos temporales T1 y T2 no determinó ninguna significación estadística para ninguna de las tres evaluaciones clínicas (Tablas 8-10).

Tabla 5. Puntuaciones SENA en menores sen T1 (durante el confinamiento) y T2 (post-confinamiento). Autoevaluación de los menores

Menores T1 Menores T2
Tamaño de la muestra 27
Rango de edad (años) 8-18
Edad media (años) 13,19 (2,86)
Sexo (M:F) 20:7
Tipo de vivienda (CON:SIN jardín/terraza) 16:11
Personas por vivienda 3,81 (0,74)
Antecedentes de maltrato (Sí:No) 12:15
SENA-M (autoevaluación de los menores) - Escalas primarias
Depresión (DEP) 58,93 (18,00) 57,93 (15,31)
Ansiedad (ANS) 56,22 (13,40) 55,48 (11,10)
Ansiedad social (ASC) 53,80 (13,96)* 57,52 (12,31)
Quejas somáticas (SOM) 51,00 (12,53) 53,22 (13,64)
Atención (ATE) 54,07 (10,83) 53,04 (12,04)
Hiperactividad-impulsividad (HIP) 52,96 (12,63) 51,19 (9,29)
Control de la ira (IRA) 54,26 (12,19) 55,81 (12,92)
Agresión (AGR) 47,40 (7,31) 51,56 (16,23)
Conducta desafiante (DES) 50,88 (13,88) 54,15 (13,87)
Conducta antisocial (ANT) 45,38 (4,84) 45,86 (5,82)
Consumo de sustancias (SUS) 43,00 (2,94) 44,33 (3,50)
Conducta alimentaria (ALI) 52,50 (9,88) 54,19 (12,25)
Regulación emocional (REG) 57,64 (13,07) 58,67 (13,83)
Integración y competencia social (SOC) 36,16 (12,95) 37,52 (12,88)
SENA-M (autoevaluación de los menores) - Índices generales de problemas
Global de problemas (GLO) 54,63 (12,32) 55,85 (12,61)
Emocionales (EMO) 56,37 (14,44) 57,33 (12,60)
Conductuales (CON) 50,67 (12,01) 52,85 (13,58)
Funciones ejecutivas (EJE) 56,00 (12,42) 55,37 (12,78)
Recursos personales (REC) 38,48 (14,39) 40,07 (14,22)

* p<0.05; ** p<0.01; *** p<0.005 (Prueba de rangos con signo de Wilcoxon o χ2, según corresponda).



v39n3a04image002.png

Figura 2. Puntuaciones SENA-M y SENA-C de los menores y SCL-90 de sus cuidadores (respectivamente de arriba a abajo) en los momentos temporales T1 (confinamiento) y T2 (post-confinamiento) para el análisis lomgitudinal de medidas repetidas. Se encontró un efecto significativo T1/T2 en las dimensiones clínicas marcadas con asterisco. Barras de error: 95% CI


v39n3a04image003.png

Figura 3. Medias marginales de las puntuaciones SENA de los menores y SCL-90 de sus cuidadores en los momentos temporales T1 (confinamiento) y T2 (postconfinamiento), así como su promedio M (respectivamente de izquierda a derecha). Se encontró un efecto significativo para el tipo de evaluador SENA (Grupo) en el primer caso y de los antecedentes de maltrato en el segundo. Sin embargo, no se encontró un efecto de interacción con el momento temporal. Barras de error: 95% CI

Tabla 6. Puntuaciones SENA en menores sen T1 (durante el confinamiento) y T2 (post-confinamiento). Evaluación de los cuidadores

Menores T1 Menores T2
Tamaño de la muestra 22
Rango de edad 32-57
Edad media 45,00 (6,49)
Sexo 3:19
Tipo de vivienda (CON:SIN jardín/terraza) 14:8
Personas por vivienda 3,77 (0,97)
Antecedentes de maltrato (Sí:No) 8:14
SENA (evaluación de los familiares/cuidadores) - Escalas primarias
Depresión (DEP) 69,27 (17,90) 73,55 (19,29)
Ansiedad (ANS) 64,55 (13,98) 67,77 (15,82)
Ansiedad social (ASC) 63,50 (13,29) 62,86 (13,94)
Quejas somáticas (SOM) 56,00 (13,50) 56,36 (12,83)
Atención (ATE) 63,95 (11,04) 61,36 (9,79)
Hiperactividad-impulsividad (HIP) 58,45 (14,85)* 55,00 (12,59)
Control de la ira (IRA) 62,77 (16,56) 62,05 (16,62)
Agresión (AGR) 56,73 (12,76) 57,86 (13,39)
Conducta desafiante (DES) 57,27 (15,88) 59,59 (16,27)
Conducta antisocial (ANT) 57,27 (13,90) 55,81 (7,98)
Consumo de sustancias (SUS) 46,09 (1,70) 47,25 (2,52)
Conducta alimentaria (ALI) 61,27 (11,48) 63,81 (14,94)
Regulación emocional (REG) 63,77 (15,14) 62,36 (14,50)
Integración y competencia social (SOC) 24,23 (12,38) 28,32 (12,50)
SENA (evaluación de los familiares/cuidadores) - Índices generales de problemas
Global de problemas (GLO) 66,27 (12,30) 67,09 (13,27)
Emocionales (EMO) 67,18 (13,14) 69,82 (14,18)
Conductuales (CON) 59,77 (14,18) 60,23 (14,50)
Funciones ejecutivas (EJE) 65,68 (11,83) 64,14 (11,61)
Recursos personales (REC) 29,68 (11,43) 30,82 (11,90)

* p<0.05; ** p<0.01; *** p<0.005 (Prueba de rangos con signo de Wilcoxon o χ2, según corresponda).



Tabla 7. Puntuaciones SCL-90 en cuidadores en T1 (durante el confinamiento) y T2 (post-confinamiento)

Cuidadores T1 Cuidadores T2
Tamaño de la muestra 38
Rango de edad 32-55
Edad media 46,45 (5,55)
Sexo 6:32
Tipo de vivienda (CON:SIN jardín/terraza) 22:16
Personas por vivienda 3,68 (0,78)
Antecedentes de maltrato (Sí:No) 12:26
SCL-90 (autoevaluación) - Escalas primarias
Somatizaciones (SOM) 58,42 (29,99)* 67,39 (24,15)
Obsesiones y compulsiones (OBS) 69,50 (27,52) 67,84 (29,08)
Sensitividad interpersonal (SI) 67,87 (28,20) 67,63 (28,95)
Depresión (DEP) 64,89 (29,21) 59,74 (31,29)
Ansiedad (ANS) 64,50 (26,53) 59,26 (29,32)
Hostilidad (HOS) 62,13 (33,06) 58,00 (28,68)
Ansiedad fóbica (FOB) 50,82 (32,26) 47,63 (37,12)
Ideación paranoide (PAR) 55,95 (30,74) 60,32 (28,51)
Psicoticismo (PSI) 56,08 (34,84) 52,03 (37,97)
SCL-90 (autoevaluación) - Índices globales de malestar psicológico
Global de severidad (GSI) 66,68 (27,67) 64,29 (29,18)
Positivo de malestar (PST) 68,97 (27,96) 72,71 (28,44)
Total de síntomas positivos (PSDI) 51,21 (27,73) 48,45 (30,11)

* p<0.05; ** p<0.01; *** p<0.005 (Prueba de rangos con signo de Wilcoxon o χ2, según corresponda).


Tabla 8. Porcentaje de casos patológicos y no patológicos en la evaluación SENA en menores en T1 (durante el confinamiento) y T2 (post-confinamiento) durante el estudio longitudinal. Autoevaluación de los menores

No Patología T2 Patología T2
SENA (autoevaluación de los menores)
Depresión (DEP) No patología T1 21 (77.8%) 0 (0.0%)
Patología T1 3 (11.1%) 3 (11.1%)
Ansiedad (ANS) No patología T1 26 (96.3%) 0 (0.0%)
Patología T1 1 (3.7%) 0 (0.0%)
Ansiedad social (ASC) No patología T1 25 (92.6%) 1 (3.7%)
Patología T1 1 (3.7%) 0 (0.0%)
Quejas somáticas (SOM) No patología T1 26 (96.3%) 0 (0.0%)
Patología T1 0 (0.0%) 1 (3.7%)
Atención (ATE) No patología T1 25 (92.6%) 1 (3.7%)
Patología T1 1 (3.7%) 0 (0.0%)
Hiperactividad-impulsividad (HIP) No patología T1 25 (92.6%) 0 (0.0%)
Patología T1 2 (7.4%) 0 (0.0%)
Control de la ira (IRA) No patología T1 25 (92.6%) 1 (3.7%)
Patología T1 1 (3.7%) 0 (0.0%)
Agresión (AGR) No patología T1 25 (92.6%) 2 (7.4%)
Patología T1 0 (0.0%) 0 (0.0%)
Conducta desafiante (DES) No patología T1 25 (92.6%) 1 (3.7%)
Patología T1 0 (0.0%) 1 (3.7%)
Conducta antisocial (ANT) No patología T1 27 (100%) 0 (0.0%)
Patología T1 0 (0.0%) 0 (0.0%)
Consumo de sustancias (SUS) No patología T1 27 (100%) 0 (0.0%)
Patología T1 0 (0.0%) 0 (0.0%)
Conducta alimentaria (ALI) No patología T1 26 (96.3%) 1 (3.7%)
Patología T1 0 (0.0%) 0 (0.0%)
Regulación emocional (REG) No patología T1 25 (92.6%) 2 (7.4%)
Patología T1 0 (0.0%) 0 (0.0%)
Integración y competencia social (SOC) No patología T1 27 (100%) 0 (0.0%)
Patología T1 0 (0.0%) 0 (0.0%)
SENA (evaluación de los familiares/cuidadores) - Índices generales de problemas
Global de problemas (GLO) No patología T1 25 (92.6%) 1 (3.7%)
Patología T1 0 (0.0%) 1 (3.7%)
Emocionales (EMO) No patología T1 24 (88.9%) 0 (0.0%)
Patología T1 1 (3.7%) 2 (7.4%)
Conductuales (CON) No patología T1 25 (92.6%) 1 (3.7%)
Patología T1 1 (3.7%) 0 (0.0%)
Funciones ejecutivas (EJE) No patología T1 26 (96.3%) 0 (0,0%)
Patología T1 1(3.7%) 0 (0,0%)
Recursos personales (REC) No patología T1 27 (100%) 0 (0,0%)
Patología T1 0 (0,0%) 0 (0,0%)

No se encontraron diferencias significativas (prueba χ2 de McNemar para medidas repetidas).


Tabla 9. Porcentaje de casos patológicos y no patológicos en la evaluación SENA en menores en T1 (durante el confinamiento) y T2 (post-confinamiento) durante el estudio longitudinal. Evaluación de los cuidadores.

No Patología T2 Patología T2
SENA (autoevaluación de los menores)
Depresión (DEP) No patología T1 13 (59.1%) 5(22.7%)
Patología T1 0 (0.0%) 4 (18.2%)
Ansiedad (ANS) No patología T1 18 (81.8%) 2 (9.1%)
Patología T1 1 (4.5%) 1 (4.5%)
Ansiedad social (ASC) No patología T1 19 (86.4%) 1 (4.5%)
Patología T1 0 (0.0%) 2 (9.1%)
Quejas somáticas (SOM) No patología T1 21 (95.5%) 0 (0.0%)
Patología T1 0 (0.0%) 1 (4.5%)
Atención (ATE) No patología T1 21 (95.5%) 0 (0.0%)
Patología T1 1 (4.5%) 0 (0.0%)
Hiperactividad-impulsividad (HIP) No patología T1 21 (95.5%) 0 (0.0%)
Patología T1 1 (4.5%) 0 (0.0%)
Control de la ira (IRA) No patología T1 16 (72.7%) 2 (9.1%)
Patología T1 2 (9.1%) 2 (9.1%)
Agresión (AGR) No patología T1 20 (90.9%) 1 (4.5%)
Patología T1 0 (0.0%) 1 (4.5%)
Conducta desafiante (DES) No patología T1 17 (77.3%) 2 (9.1%)
Patología T1 1 (4.5%) 2 (9.1%)
Conducta antisocial (ANT) No patología T1 21 (95.5%) 0 (0.0%)
Patología T1 1 (4.5%) 0 (0.0%)
Consumo de sustancias (SUS) No patología T1 22 (100%) 0 (0,0%)
Patología T1 0 (0,0%) 0 (0,0%)
Conducta alimentaria (ALI) No patología T1 21 (95.5%) 1 (4.5%)
Patología T1 0 (0,0%) 0 (0,0%)
Regulación emocional (REG) No patología T1 17 (77.3%) 0 (0.0%)
Patología T1 2 (9.1%) 3 (13.6%)
Integración y competencia social (SOC) No patología T1 22 (100%) 0 (0,0%)
Patología T1 0 (0,0%) 0 (0,0%)
SENA (evaluación de los familiares/cuidadores) - Índices generales de problemas
Global de problemas (GLO) No patología T1 18 (81.8%) 0(0.0%)
Patología T1 1 (4.5%) 3 (13.6%)
Emocionales (EMO) No patología T1 16 (72.7%) 3 (13.6%)
Patología T1 1 (4.5%) 2 (9.1%)
Conductuales (CON) No patología T1 20 (90.9%) 0 (0.0%)
Patología T1 0 (0.0%) 2 (9.1%)
Funciones ejecutivas (EJE) No patología T1 18 (81.8%) 1 (4.5%)
Patología T1 1 (4.5%) 2 (9.1%)
Recursos personales (REC) No patología T1 22 (100%) 0 (0,0%)
Patología T1 0 (0,0%) 0 (0,0%)

No se encontraron diferencias significativas (prueba χ2 de McNemar para medidas repetidas).

Tabla 10. Porcentaje de casos patológicos y no patológicos en la evaluación SCL-90 en cuidadores en T1 (durante el confinamiento) y T2 (post-confinamiento).

No Patología T2 Patología T2
SCL-90 (autoevaluación) - Escalas primarias
Somatizaciones (SOM) No patología T1 19 (50.0%) 6 (15.8%)
Patología T1 4 (10.5%) 9 (23.7%)
Obsesiones y compulsiones (OBS) No patología T1 11 (28.9%) 5 (13.2%)
Patología T1 8 (21.1%) 14 (36.8%)
Sensitividad interpersonal (SI) No patología T1 13 (34.2%) 6 (15.8%)
Patología T1 6 (15.8%) 13 (34.2%)
Depresión (DEP) No patología T1 16 (42.1%) 3 (7.9%)
Patología T1 9 (23.7%) 19 (26.3%)
Ansiedad (ANS) No patología T1 18 (47.4%) 5 (13.2%)
Patología T1 7 (18.4%) 8 (21.1%)
Hostilidad (HOS) No patología T1 11 (28.9%) 8 (21.1%)
Patología T1 14 (36.8%) 5 (13.2%)
Ansiedad fóbica (FOB) No patología T1 21 (55.3%) 4 (10.5%)
Patología T1 4 (10.5%) 9 (23.7%)
Ideación paranoide (PAR) No patología T1 18 (47.4%) 7 (18.4%)
Patología T1 6 (15.8%) 7 (18.4%)
Psicoticismo (PSI) No patología T1 16 (42.1%) 8 (21.1%)
Patología T1 8 (21.1%) 6 (15.8%)
SCL-90 (autoevaluación) - Índices globales de malestar psicológico
Global de severidad (GSI) No patología T1 17 (44.7%) 5 (13.2%)
Patología T1 3 (7.9%) 13 (34.2%)
Positivo de malestar (PST) No patología T1 12 (31.6%) 8 (21.1%)
Patología T1 3 (7.9%) 15 (39.5%)
Total de síntomas positivos (PSDI) No patología T1 25 (65.8%) 7 (18.4%)
Patología T1 4 (10.5%) 2 (5.3%)

No se encontraron diferencias significativas (prueba χ2 de McNemar para medidas repetidas).

DISCUSIÓN

En el presente estudio se ha observado en los pacientes menores con patología psiquiátrica previa un incremento no significativo en la sintomatología clínica de las escalas de depresión, ansiedad y ansiedad social, además de otras dimensiones tales como quejas somáticas y problemas de conducta alimentaria y emocionales y también relacionadas con el control afectivo, ejecutivo y atencional un año después del confinamiento por COVID-19. Especialmente la depresión y la ansiedad se han mostrado en otros estudios como la sintomatología más frecuente en este tipo de pacientes durante el periodo de confinamiento por COVID-19 (7, 13, 15, 16). Así mismo, un incremento en los problemas de la conducta alimentaria (11) y del autocontrol conductual (17) han sido descritas en la literatura previa. Por lo tanto, estas dimensiones podrían considerarse sensibles a cronificarse en nuestros pacientes y permanecer incluso tiempo después de la desaparición del elemento estresor. Sin embargo, el nivel de significación de nuestros hallazgos no ha sido suficiente como para corregir el posible efecto de las comparaciones múltiples y minimizar el error de tipo I o falsos positivos, lo que nos conduce a concluir que la sintomatología clínica presente un año después del confinamiento -tras la vuelta a salir de casa y la implantación de las medidas de Nueva Normalidad- es similar a aquella obtenida durante el primer periodo. Por tanto, podemos entender los resultados significativos referidos como sólo tendencias no significativas de cambio. De hecho, al comparar la proporción de casos extremos, tampoco hemos podido confirmar ningún cambio significativo, es decir, el número de casos patológicos se ha mantenido un año después del fin del confinamiento.

Según nuestro conocimiento, no hay en la literatura estudios longitudinales como el nuestro en menores con patología psiquiátrica previa. Estudios longitudinales específicos en pacientes menores con antecedentes de patología psiquiátrica como trastorno del desarrollo (17, 18), déficit de atención con hiperactividad (19) o trastorno obsesivo-compulsivo (20), concluyeron en todos los casos un empeoramiento de su situación clínica. Sin embargo, aunque compatibles con nuestros resultados, estos trabajos se enmarcan en un periodo exclusivo de confinamiento.

Sin embargo, sólo unos pocos análisis longitudinales, en este caso en población infantil y adolescente general, han reevaluado, como nosotros, la sintomatología clínica más allá del fin del confinamiento y la reapertura de los colegios. Raw y cols. (17) valoraron la salud mental de menores sanos (4-16 años) en tres momentos durante los 4 meses posteriores al comienzo de la pandemia, mostrando un incremento de los niveles de hiperactividad y problemas conductuales y un mantenimiento de los síntomas emocionales con el tiempo. Coherente con estos resultados, nosotros encontramos un incremento en problemas relacionados con el control de la conducta (alimentaria, atencional, afectiva y ejecutiva). Sin embargo, en nuestros resultados, la sintomatología afectiva se vio incrementada, mientras que la hiperactividad e impulsividad se mostró disminuida (en todos los casos como tendencias). Estos resultados contradictorios podrían ser debidos a las características propias de nuestra muestra, pero también a que las reevaluaciones en estos estudios se realizaron en distintitos momentos. El estudio de Raw y cols. (17) realizó su reevaluación en julio de 2020, un corto espacio de tiempo que corresponde al post-confinamiento temprano, caracterizado por la incertidumbre y la implantación de nuevas normas de actuación social y con el temor de una segunda ola que se inició tras el verano de 2020. Por el contrario, nuestra reevaluación se enmarca en un “periodo valle” muy posterior (mayo/junio de 2021), de relativa calma y adecuación rutinaria a las nuevas normas que podría haber invertido cualquier tendencia alcista en la sintomatología sin que aún se hubiera iniciado la quinta ola del verano de 2021. Esto último podría sustentarse en los estudios que apoyan que la satisfacción vital y la sintomatología se relaciona significativamente con la preocupación por los peligros derivados del COVID-19 (21) y con los resultados de Hawke y cols. (22) que evaluaron hasta en cuatro ocasiones a una amplia muestra de adolescentes (14-18 años) concluyendo que tanto su estado anímico como su percepción y preocupaciones derivadas de la COVID-19 fluctuaban con la misma evolución de la pandemia.

Estudios en población general adulta, por otro lado, han reportado hallazgos opuestos como una disminución del estrés, la ansiedad y la depresión con el avance de la pandemia (5, 21, 23), aunque también hay estudios que reportan un incremento de la sintomatología depresiva y pensamientos suicidas (24). Sin embargo, son pocos los estudios que se centran en adultos cuidadores de menores, concluyendo en un incremento de los síntomas depresivos, pero no de la ansiedad durante el confinamiento (25). Estos resultados son coherentes con la peor evolución de la salud mental durante el confinamiento en adultos con mayores cargas de problemas psicológicos (26, 27) o dificultades sociales (28), en condición de cuidadores no pagados (23) y también al cuidado de menores con diagnóstico de espectro autista y otros trastornos del desarrollo (29). Sin embargo, nuestros resultados muestran una estabilización de la sintomatología un año después del fin del confinamiento. Teniendo en cuenta nuestro estudio descriptivo previo (13) y los actuales resultados, podemos concluir que los familiares cuidadores de pacientes menores con enfermedad psiquiátrica presentan altas proporciones de psicopatología (30% en ansiedad y depresión, entre otras), que son estables un año después del fin del confinamiento.

Por último, nuestro estudio ha dado evidencia de que las evaluaciones de los familiares cuidadores son más elevadas que las de los propios menores en la modalidad de autoevaluación del SENA. Aunque las autoevaluaciones de la sintomatología clínica se han mostrado fiables según estudios precedentes (30), pensamos que es importante tener en cuenta este factor en la valoración para futuras investigaciones y en la práctica clínica. Por otro lado, nuestro estudio no logró encontrar un efecto de los antecedentes de maltrato en los cambios de la sintomatología clínica de los menores, pero sí en sus familiares cuidadores. Esto último es coherente con los estudios que afirman que los eventos difíciles durante la niñez y la adolescencia son conocidos precursores de una peor salud mental posterior (31, 32).

Nuestro estudio tiene varias limitaciones. En primer lugar, el tamaño de nuestra muestra es pequeño. Estudios más amplios, posiblemente multicéntricos son necesarios para especificar los cambios en la salud mental de los niños con antecedentes de patología psiquiátrica y sus familiares cuidadores. En segundo lugar, la muestra es heterogénea en cuanto a los diagnósticos de nuestros participantes. Algunas patologías psiquiátricas pueden tener sus propias características y reacciones diferenciadas durante la evolución de la pandemia, por lo que se necesitarían hacer estudios específicos en poblaciones de pacientes específicos. Por último, nuestra reevaluación se ha realizado en un “periodo valle” donde el número de casos de infección era relativamente bajo. Futuros estudios longitudinales deberían valorar la sintomatología clínica de estas poblaciones en diversos momentos durante las fluctuaciones de la propia pandemia.




CONCLUSIONES


La sintomatología clínica de menores con patología psiquiátrica se ha mantenido un año después del fin del confinamiento por COVID-19, aunque se observan algunas tendencias de incrementos en las dimensiones de depresión, ansiedad y de control afectivo y conductual. Sus familiares cuidadores también mantuvieron una estabilidad en su sintomatología clínica. La evolución de la sintomatología en estas poblaciones probablemente evolucione con la percepción de gravedad de la pandemia, por lo que se hace indispensable un seguimiento de la salud mental de estos menores y de sus cuidadores.

Fomentar una buena comunicación de los padres con sus hijos, un adecuado apoyo social y potenciar un juego y un tiempo de ocio adecuado a su nivel de desarrollo, son factores protectores que se deben trabajar con los padres y menores desde los servicios de salud mental para favorecer un manejo emocional adecuado de los menores. Sería necesario el desarrollo de estrategias de apoyo y de prevención de los menores para favorecer una adecuada recuperación del impacto psicológico producido por la pandemia y evitar las consecuencias psicológicas a largo plazo en este grupo de población.

DISTRIBUCIÓN DEL TRABAJO

CDM y EMA se han encargado de la selección de los pacientes, de la recogida de datos y de realizar las escalas a los padres y a los menores; JMF se ha encargado de corregir las escalas utilizadas, ADR del análisis estadístico, y finalmente CDM y ADR Cristina y Álvaro de escribir el artículo. Todos los autores han aprobado el artículo.

CONFLICTOS DE INTERÉS DE LOS AUTORES

No existe conflicto de intereses por parte de ningún autor que ha participado en el artículo.


REFERENCIAS


1. Brooks SK, Webster RK, Smith LE, Woodland L, Wessely S, Greenberg N, et al. The psychological impact of quarantine and how to reduce it: rapid review of the evidence. Lancet. 2020; 395(10227): 912-20. https://doi.org/10.1016/S0140-6736(20)30460-8

2. Jiloha RC. COVID-19 and Mental Health. Epidem Int. 2020;5(1): 7-9. https://doi.org/10.24321/2455.7048.202002

3. Deighton J, Lereya ST, Casey P, Patalay P, Humphrey N, Wolpert M. revalence of mental health problems in schools: poverty and other risk factors among 28 000 adolescents in England. BJ Psych. 2019;215(3): 565-67. https://doi.org/10.1192/BJP.2019.19

4. Loades ME, Chatburn E, Higson-Sweeney N, Reynolds S, Shafran R, Brigden A, et al. Rapid Systematic Review: The Impact of Social Isolation and Loneliness on the Mental Health of Children and Adolescents in the Context of COVID-19. J Am Acad Child Adolesc Psychiatry. 2020;59(11): 1218-39. https://doi.org/10.1016/J.JAAC.2020.05.009

5. Wang G, Zhang Y, Zhao J, Zhang J, Jiang F. Mitigate the effects of home confinement on children during the COVID-19 outbreak. Lancet. 2020;395(10228): 945-47. https://doi.org/10.1016/S0140-6736(20)30547-X

6. Racine N, McArthur BA, Cooke JE, Eirich R, Zhu J, Madigan S. Global Prevalence of Depressive and Anxiety Symptoms in Children and Adolescents During COVID-19: A Meta-analysis. JAMA Pediatr. 2021;175(11): 1142-50. https://doi.org/10.1001/JAMAPEDIATRICS.2021.2482

7. Panchal U, Salazar de Pablo G, Franco M, Moreno C, Parellada M, Arango C, et al. The impact of COVID-19 lockdown on child and adolescent mental health: systematic review. Eur Child Adolesc Psychiatry. 2021;: 1-27. https://doi.org/10.1007/s00787-021-01856-w

8. Viola TW, Nunes ML. Social and environmental effects of the COVID-19 pandemic on children. Jornal de Pediatria. 2021; 98(supp. 1): S4-S12. https://doi.org/10.1016/j.jped.2021.08.003

9. Shah R, Raju VV, Sharma A, Grover S. Impact of COVID-19 and Lockdown on Children with ADHD and Their Families-An Online Survey and a Continuity Care Model. J Neurosci Rural Pract. 2021; 12(1): 71-79. https://doi.org/10.1055/S-0040-1718645

10. Zhang L, Zhang D, Fang J, Wan Y, Tao F, Sun Y. Assessment of Mental Health of Chinese Primary School Students Before and After School Closing and Opening During the COVID-19 Pandemic. JAMA Netw Open. 2020; 3(9): e2021482. https://doi.org/10.1001/JAMANETWORKOPEN.2020.21482

11. Graell M, Morón-Nozaleda MG, Camarneiro R, Villaseñor Á, Yáñez S, Muñoz R, et al. Children and adolescents with eating disorders during COVID-19 confinement: Difficulties and future challenges. Eur Eat Disord Rev. 2020; 28(6): 864-70. https://doi.org/10.1002/ERV.2763

12. Liu JJ, Bao Y, Huang X, Shi J, Lu L. Mental health considerations for children quarantined because of COVID-19. Lancet Child Adolesc. Health. 2020; 4(5): 347-49. https://doi.org/10.1016/S2352-4642(20)30096-1

13. Domínguez Martín C, Martín Arranz E, Fernández Rodríguez B, Carrascal Joral E, Revuelta AD, Martín CD. Impacto emocional durante el confinamiento por COVID-19 en menores de hospital de día y en sus padres/cuidadores. Rev Psiquiatr Infanto-Juv. ; 38(1): 11-9. https://doi.org/10.31766/REVPSIJ.V38N1A3

14. Lee J. Mental health effects of school closures during COVID-19. Lancet Child Adolesc. Health. 2020; 4(6): 421. https://doi.org/10.1016/S2352-4642(20)30109-7

15. Giannopoulou I, Efstathiou V, Triantafyllou G, Korkoliakou P, Douzenis A. Adding stress to the stressed: Senior high school students’ mental health amidst the COVID-19 nationwide lockdown in Greece. Psychiatry Research. 2021; 295: 113560. https://doi.org/10.1016/J.PSYCHRES.2020.113560

16. Yue J, Zang X, Le Y, & An Y. Anxiety, depression and PTSD among children and their parent during 2019 novel coronavirus disease (COVID-19) outbreak in China. Curr Psychol. 2020; 41: 5723-30. https://doi.org/10.1007/s12144-020-01191-4

17. Raw JAL, Waite P, Pearcey S, Shum A, Patalay P, Creswell C. Examining changes in parent-reported child and adolescent mental health throughout the UK’s first COVID-19 national lockdown. J Child Psychol Psychiatry. 2021; 62(12): 1391-1401. https://doi.org/10.1111/JCPP.13490

18. Takahashi F, Honda H. Prevalence of clinical-level emotional/behavioral problems in schoolchildren during the coronavirus disease 2019 pandemic in Japan: A prospective cohort study. JCPP Advances. 2021; 1(1). https://doi.org/10.1111/JCV2.12007

19. Dvorsky MR, Breaux R, Cusick CN, Fredrick JW, Green C, Steinberg A, et al. Coping with COVID-19: Longitudinal Impact of the Pandemic on Adjustment and Links with Coping for Adolescents with and without ADHD. Res Child Adolesc Psychopathol. 2021; 50: 605-19. https://doi.org/10.1007/s10802-021-00857-2

20. Cunning C, Hodes M. The COVID-19 pandemic and obsessive-compulsive disorder in young people: Systematic review. Clin. Child Psychol. Psychiatry. 2021; 27(1): 18-34. https://doi.org/10.1177/13591045211028169

21. Van der Laan SEI, Finkenauer C, Lenters VC, Van Harmelen AL, Van der Ent CK, Nijhof SL. 2021. J Adolesc Health. 2021; 69(5): 737-45. https://doi.org/10.1016/J.JADOHEALTH.2021.07.013

22. Hawke LD, Szatmari P, Cleverley K, Courtney D, Cheung A, Voineskos AN, et al. Youth in a pandemic: a longitudinal examination of youth mental health and substance use concerns during COVID-19. BMJ Open. 2021; 11(10). https://doi.org/10.1136/BMJOPEN-2021-049209

23. Czeisler M, Wiley JF, Facer-Childs ER, Robbins R, Weaver MD, Barger LK, et al. ental health, substance use, and suicidal ideation during a prolonged COVID-19-related lockdown in a region with low SARS-CoV-2 prevalence. J Psychiatr Res. ; 140: 533-44. https://doi.org/10.1016/J.JPSYCHIRES.2021.05.080

24. Veldhuis CB, Nesoff ED, McKowen ALW, Rice DR, Ghoneima H, Wootton AR, et al. Addressing the critical need for long-term mental health data during the COVID-19 pandemic: Changes in mental health from April to September 2020. Prev Med. 2021; 146. https://doi.org/10.1016/J.YPMED.2021.106465

25. Wright N, Hill J, Sharp H, Pickles A. Interplay between long-term vulnerability and new risk: Young adolescent and maternal mental health immediately before and during the COVID-19 pandemic. JCPP Advances. 2021; 1(1): e12008. https://doi.org/10.1111/JCV2.12008

26. Chevance A, Gourion D, Hoertel N, Llorca P, Thomas P, Bocher R, et al. Ensuring mental health care during the SARS-CoV-2 epidemic in France: A narrative review. L’Encephale. 2020; 46(3S): S3-S13. https://doi.org/10.1016/j.encep.2020.03.001

27. Yao H, Chen JH, Xu YF. Patients with mental health disorders in the COVID-19 epidemic. Lancet Psychiatry. ; 7(4): e21. https://doi.org/10.1016/S2215-0366(20)30090-0

28. Valero-Moreno S, Lacomba-Trejo L, Tamarit A, Pérez-Marín M, Montoya-Castilla I. Psycho-emotional adjustment in parents of adolescents: A cross-sectional and longitudinal analysis of the impact of the COVID pandemic. J Pediatr Nurs. 2021; 59: e44-e51. https://doi.org/10.1016/J.PEDN.2021.01.028

29. Wang C. Mental health and social support of caregivers of children and adolescents with ASD and other developmental disorders during COVID-19 pandemic. J Affect Disord. 2021; 6: 100242. https://doi.org/10.1016/J.JADR.2021.100242

30. Martin J, Streit F, Treutlein J, Lang M, Frank J, Forstner AJ, et al. Expert and self-assessment of lifetime symptoms and diagnosis of major depressive disorder in large-scale genetic studies in the general population: comparison of a clinical interview and a self-administered checklist. Psychiatr Genet. 2017; 27(5): 187-96. https://doi.org/10.1097/YPG.0000000000000182

31. Heleniak C, Jenness JL, Vander Stoep A, McCauley E, McLaughlin KA. Childhood Maltreatment Exposure and Disruptions in Emotion Regulation: A Transdiagnostic Pathway to Adolescent Internalizing and Externalizing Psychopathology. Cogn Behav Ther. 2016; 40(3): 394. https://doi.org/10.1007/S10608-015-9735-Z

32. Zhao J, Peng X, Chao X, Xiang Y. Childhood maltreatment influences mental symptoms: The mediating roles of emotional intelligence and social support. Front Psychiatry. 2019; 10: 415. https://doi.org/10.3389/FPSYT.2019.00415